On the Great Anti-epidemic Spirit

(Research on the History of the Communist Party of China is authorized to be published by China communist party News Network, please do not reprint it.) 

The General Secretary of the Supreme Leader pointed out: "People will not stand without spirit, and countries will not be strong without spirit. Spirit is the soul for a nation to survive for a long time. Only when the spirit reaches a certain height can this nation stand firm and move forward bravely in the torrent of history. " Since the outbreak of the COVID-19 epidemic, under the strong leadership of the CPC Central Committee with the Supreme Leader as the core, the people of China have worked hard with one heart, unity and cooperation, and launched a people’s war, a general war and a blocking war to prevent and control the epidemic, thus rallying the great anti-epidemic spirit in the struggle against the COVID-19 epidemic.

First, the scientific connotation and spiritual essence of the great anti-epidemic spirit

The great anti-epidemic spirit formed by the CPC Central Committee with the Supreme Leader as the core leading the people of all ethnic groups to jointly fight against the COVID-19 epidemic has rich scientific connotations, which are mainly embodied in the spirit of serving the people, the spirit of national unity and unity, the spirit of sacrifice, the realistic spirit of relying on scientific and precise policies, the spirit of mutual assistance, the spirit of sharing weal and woe, and the spirit of cooperation.

(A) the spirit of protecting life and putting the people first for the people

In the fight against the epidemic, the Communist Party of China (CPC) always put people’s life safety and physical health first, and always practiced the nature and purpose of serving the people wholeheartedly, which embodies the Communist Party of China (CPC)’s people-centered fundamental position and political quality. In the face of the sudden epidemic, General Secretary of the Supreme Leader first put forward and emphasized the important concept of "putting people’s life safety and physical health first", taking improving the admission rate and cure rate and reducing the infection rate and death rate as outstanding tasks, and mobilizing national resources to carry out large-scale treatment as never before, without missing an infected person or giving up every patient, from infants born only 30 hours to elderly people over 100 years old. In our country, we spare no effort to treat patients at any cost, and truly realize that all patients and infected people should receive all the benefits, be cured, be examined and separated, and resolutely choose life first between people’s lives and economic interests to ensure that patients are not affected by the cost problem. Since the outbreak, more than 3,000 COVID-19 patients over 80 years old and over 100 years old have been successfully cured in Hubei Province, of which the oldest patient is 108 years old. The overall cure rate in Wuhan is 94%, and the severe cure rate is over 89%. As of May 31st, there were 58,000 settled inpatients nationwide, with a total medical expense of 1.35 billion yuan, and the per capita medical expense of confirmed patients was about 23,000 yuan. Among them, the per capita treatment cost of critically ill patients exceeds 150 thousand yuan, and the treatment cost of some critically ill patients is hundreds of thousands or even millions of yuan.All borne by the state. Moreover, Party organizations at all levels and the broad masses of cadres in party member stood up and acted in times of crisis, not afraid of fatigue, and fought continuously. With the heart of victory, responsibility, kindness and caution, they adhered to the purpose and belief that the people are supreme, practiced the clank oath of serving the people with practical actions, spared no effort to protect the people’s basic livelihood, and firmly relied on the people to win the epidemic prevention and control war, which showed the political nature of communist party people in the new era. According to the survey, 94% of the respondents believe that "it is impossible to win the victory of epidemic prevention and control without the leadership of the party", and 95% of the respondents believe that "the confidence in the party’s leadership and organizational strength has been strengthened". Compared with China, some western countries insist on the supremacy of capital, not only unwilling to pay for the people who need treatment, but also selective treatment according to the age of patients, and even irresponsibly put forward the strategy of "group immunization". The phenomenon that the bottom people are not treated because of poverty is everywhere, and even some older patients are unplugged when they are still alive … Such cruel acts are heartbreaking.

(2) The spirit of unity of the whole country and unity of mind.

In the fight against the epidemic, Party committees and governments at all levels resolutely obeyed the unified command, coordination and dispatch of the CPC Central Committee, insisted on a national chess game, concentrated their efforts on major events, and fully mobilized the enthusiasm of all parties, thus forming a situation in which the whole country mobilized and all the people fought together, which is a concentrated expression of the remarkable advantages of the Communist Party of China (CPC)’s leadership and the Socialism with Chinese characteristics system. Under the centralized and unified leadership of the CPC Central Committee with the Supreme Leader as the core, Party committees and governments at all levels have fully mobilized, deployed and participated by the whole people, and all fronts have actively supported the prevention and control of the epidemic, building a strict defense line for joint prevention and control throughout the country and the people’s mass prevention and control throughout the country. In China, when the epidemic occurred, it coincided with the Spring Festival, the most important traditional festival of the Chinese nation. Under the command of the CPC Central Committee, 1.4 billion people actively responded to the call and resolutely obeyed the overall deployment of the epidemic prevention and control work. Home isolation and telecommuting became a "China characteristic" lifestyle overnight. At the forefront of fighting the epidemic, Hubei and Wuhan made great sacrifices. In order to stop the spread of the virus, they resolutely closed the passage from Han to Hubei. From January 23rd to April 8th, the city was closed for 76 days. In order to solve the shortage of medical care, from New Year’s Eve to March 8, 346 national medical teams, 42,600 medical personnel and more than 900 public health personnel were mobilized to help Hubei and Wuhan to fight the epidemic together with local medical workers and people. The prevention and control mechanism of epidemic situation in 19 provinces to support cities outside Wuhan, Hubei Province was quickly established. In the case of an epidemic situation and a heavy task of prevention and control in various provinces,Focus on high-quality medical resources to support Hubei Province and Wuhan City, and support 16 cities in Hubei Province except Wuhan with counterpart support and provincial insurance. The People’s Liberation Army sent more than 4,000 medical personnel to support Hubei and undertook the rescue tasks of three medical institutions. The Air Force dispatched transport planes to deliver medical supplies urgently. Each medical team will be completed within 2 hours from receiving instructions to setting up, and will arrive within 24 hours to carry out rescue work quickly. In order to solve the problem of bed shortage, more than 40,000 builders fought day and night, creating the "China speed" of building the Vulcan Mountain Hospital and Thunder God Mountain hospital in about 10 days … Time to testify, the nationwide unified prevention and control pattern and strong synergy formed under the leadership of the CPC Central Committee are making more impossible possible. On the other hand, in foreign countries, even a simple curfew is implemented by very few people; Even if it is an appeal to wear a mask, there are only a handful of respondents, and it is impossible to shut down the city. In some countries, such as the United States, there is a situation that "freedom" is too much, and it is difficult to get out of the White House, so that the "window period" of epidemic prevention and control is wasted, resulting in a pandemic.

(3) the spirit of sacrifice of risking one’s life and forgetting one’s death and courageously moving forward

In the fight against the epidemic, the anti-epidemic workers who fought on all fronts ignored their personal life and death, "knowing that there are tigers in the mountains, they are biased towards the tiger mountain." The medical workers went out in reverse, selflessly and selflessly, and fought day and night. The commanders and men of the People’s Liberation Army moved at the command and dared to fight hard. The public security police, disease control workers and community workers kept their posts and stayed on duty day and night. The journalists braved hardships and went deep into the front line. The volunteers showed extraordinary courage and amazing perseverance. This is the dauntless courage of the majority of anti-epidemic workers who generously went to the disaster and died. According to statistics, 540,000 medical personnel from Hubei Province and Wuhan City rushed to the front, more than 40,000 military medical personnel rushed to Hubei Province and Wuhan City for the first time, and millions of medical personnel fought in the national anti-epidemic front line. Among them, from academicians and experts who are over the ages to young medical staff after 90 s and 00 s, all of them are resolutely moving forward. "I am young. If I am unfortunately infected, I will definitely recover faster than the older nurses and teachers." "I’m not married, I have no children, I have no burden." "I want to keep up with my father’s footsteps." "The only requirement is not to tell my parents." ….. These immature words reflect the light of the stalwart, which can’t help but make people cry. According to incomplete statistics, in the process of fighting the virus, more than 2,000 medical staff were diagnosed with infection, and dozens of people died in the line of duty. Public security police and auxiliary police stationed in hospitals, transported patients, patrolled the streets, maintained order, and bravely shouldered heavy burdens in the face of urgent and dangerous tasks.More than 130 people died at work. Four million community workers fought in 650,000 urban and rural communities across the country to monitor the epidemic situation, take body temperature, check personnel, stand guard, publicize policies, prevent and kill diseases, and keep the "first pass" of epidemic prevention and control. Courier brothers, sanitation workers, road transport practitioners, journalists, volunteers and other workers from all walks of life are not afraid of the wind and rain, and they are dedicated and persistent. As of May 31st, the number of registered volunteers participating in epidemic prevention and control nationwide reached 8.81 million, with more than 460,000 volunteer service projects and more than 290 million volunteer service hours recorded. Li Wenliang, Yuan Yangyang, Xia Sisi, Zhang Jingjing … These names are engraved on the anti-epidemic heroes’ spectrum. They built a steel Great Wall for epidemic prevention and control with their flesh and blood, and moved China and the world with practical actions.

(D) the spirit of seeking truth by relying on scientific and precise policies.

In the fight against the epidemic, the CPC Central Committee with the Supreme Leader as the core highlighted that "the most powerful weapon for human beings to fight against diseases is science and technology, and human beings can’t defeat catastrophes and epidemics without scientific development and technological innovation", and United and led the whole party and people of all nationalities to persist in respecting and relying on science and give full play to the role of science and technology as a sharp weapon to overcome catastrophes and epidemics, which is a concentrated expression of the Communist Party of China (CPC) and the Chinese nation’s character of advocating rationality and seeking truth from facts. After the outbreak of the epidemic, the relevant departments quickly determined five main directions, namely, clinical treatment and drugs, vaccine research and development, detection technology and products, virus etiology and epidemiology, and animal model construction, and organized interdisciplinary and interdisciplinary scientific research teams. The front lines of scientific research, clinic and prevention and control cooperated with each other, and all parties in Industry-University-Research cooperated closely, providing strong scientific support for the prevention and control of the epidemic. From the extensive use of new technologies such as big data and artificial intelligence to carry out epidemiological investigation and analysis and judgment of epidemic situation, accurately identify "four types of personnel" and carry out centralized management by classification, draw epidemic maps, follow up and implement prevention and control measures, to actively carry out virus traceability, identify the source of infection and transmission routes, quickly develop diagnostic reagents, implement many antiviral treatments, and develop vaccines simultaneously through multi-technical routes, from closely tracking virus variation, Constantly optimize the means of diagnosis and treatment and the prevention and treatment plan, actively explore the new mode of anti-epidemic in the shelter, solve the problem of large-scale treatment of patients, persist in innovation, fully tap the essence of traditional Chinese medicine, and adopt comprehensive therapy combining Chinese and Western medicine and both Chinese and Western medicine to cure patients.All show the great role of science and technology in fighting the epidemic. With the deepening of the research on Covid-19, the CPC Central Committee with the Supreme Leader as the core improved the prevention and control strategies and measures in time, and put forward clear requirements of "internal prevention of proliferation, external prevention of export" and "external prevention of import and internal prevention of rebound" in different regions at different stages according to the changes in the situation of epidemic prevention and control in COVID-19 at home and abroad. According to the principle of precise policy, the country is divided into low-risk, medium-risk and high-risk areas according to the actual situation of epidemic development in various regions. On June 11th, after no new confirmed cases were reported locally for 56 consecutive days, new confirmed cases appeared in Beijing. According to the new situation of epidemic prevention and control, Beijing responded quickly, raised the response level of public health emergencies, and took effective measures to deal with it resolutely and decisively to curb the spread of the epidemic. All localities and departments conscientiously implement the requirements of the CPC Central Committee, always insist on proceeding from the reality of epidemic prevention work, prioritize and distinguish between primary and secondary contradictions, and solve problems according to local conditions, time and people. Accurate resumption of work and production, orderly restoration of production and living order, and overall promotion of epidemic prevention and control and economic and social development have achieved positive results.

(5) The spirit of mutual assistance of loving without borders and overcoming difficulties together.

In the fight against the epidemic, the whole country shares weal and woe, the front and rear work together, and the people of the whole country do their best to participate in the epidemic prevention and control work, showing the great love of the world and the deep kinship of heart-to-heart, breathing and common destiny, which is a concentrated expression of the feelings of Chinese people who work together and struggle for home and country. The arduous course of China’s anti-epidemic struggle is the common memory of 1.4 billion people in China. The people of China, regardless of gender, age and post division, have consciously devoted themselves to this people’s war and made their own contributions. The 1.4 billion people of China are great fighters against the epidemic. The vast number of party member actively paid special party dues, and all walks of life donated money and materials to support the fight against the epidemic. As of May 31st, the accumulated social donation funds were about 38.93 billion yuan and 990 million pieces of materials. The epidemic is ruthless, and dozens of veterans of the War to Resist US Aggression and Aid Korea, Do not forget your initiative mind, insisted on donating money; The cleaning staff with meager income donated money many times, but refused to give their names, and only signed "Communist party member"; Scavengers, sanitation grandfathers and grandmothers living alone who have a hard life donate their savings for many years to help fight the epidemic … Such stories are frequently staged on the land of China, which is moving. In addition to the unified deployment of medical staff and medical materials to support Hubei and Wuhan, rice flour oil, vegetables and fruits from all over the country continue to arrive in Wuhan, rice from Heilongjiang, cabbage from Shenyang, fruits from Yunnan, oranges from Jiangxi, green vegetables from Guizhou, beef and mutton from Qinghai, and live fish that Wuhan people love to eat … "Give a hand and pull a hand in the most difficult period of Hubei,Help Hubei enter the normal track in an all-round way as soon as possible ","Wuhan wins Hubei, Hubei wins the whole country ","Come on Wuhan, come on China "and other words convey the expectations and blessings of all Chinese children. Wu Hanyou has 10 million hands, Hubei has 60 million hands and China has 1.4 billion hands. Although Hubei and Wuhan experienced hardships, they did not fight alone, but the whole China stood behind them.

(six) the spirit of cooperation through thick and thin, shared destiny.

In the fight against the epidemic, the CPC Central Committee with the Supreme Leader as the core deeply realized that the epidemic has no national boundaries, and the virus is the common enemy of mankind. We must "strengthen our confidence, work together in Qi Xin, and unite to deal with it". By strengthening international cooperation in epidemic prevention and control, we will gather global positive energy to fight the epidemic and unite to win this fight against major infectious diseases, which is a concentrated expression of the concept of the community of human destiny in which people all over the world unite, cooperate and help each other. In the face of this unprecedented global public health crisis, no country or region can be immune and must help each other in the same boat. China’s fight against the epidemic has been actively helped by the international community. Leaders of more than 170 countries, heads of 50 international and regional organizations, and more than 300 foreign political parties and organizations sent letters, calls and statements expressing sympathy and support to the leaders of China, and 77 countries and 12 international organizations provided material donations. People in some countries spontaneously expressed their solidarity with China in different forms: the fourth-grade students of cascades Primary School in Utah sang the Chinese song "Come on, Wuhan, You Smile Really Beautiful", and children in some Latin American countries picked up brushes to describe their encouragement and support for China … China has always strengthened international cooperation in epidemic prevention and control. While taking the most comprehensive, strict and thorough prevention and control measures, it did its best to curb the spread of the epidemic, and released epidemic information to the domestic and foreign countries in time, sharing virus research results at the first time.We have provided testing reagents, masks, protective clothing, ventilators, monitors and other medical and epidemic prevention materials to nearly 150 countries and 4 international organizations, and sent 26 medical expert groups to 24 countries including Italy, Serbia, Iran and Iraq. China actively advocates the solidarity and cooperation of the international community, and the Communist Party of China (CPC) has issued a joint appeal with 240 political parties in more than 110 countries to strengthen international cooperation in fighting the epidemic. Under the situation that its own epidemic prevention and control is still under great pressure, China quickly took action to provide humanitarian assistance to the international community within its capacity, and provided two batches of cash assistance totaling 50 million US dollars to the World Health Organization, supporting the United Nations and the World Health Organization to play their roles and build a healthy community of human beings. All these show the world the extraordinary spirit of China, the responsibility of a big country and the tolerance of a big country. On the other hand, the United States and other western countries, at the special moment when the global epidemic spread, made use of the epidemic to engage in political plots. After their own epidemic prevention and control suffered from "Waterloo", they frequently "dumped the pot" in China, ignored the opposition of the international community, and were obsessed with "decoupling". They rashly stopped paying their dues to the World Health Organization, announced that they would terminate their relations with the World Health Organization, and further set off anti-globalization thoughts around the world.

The above six aspects are interrelated, complementary, organically unified and mutually supportive. Among them, the spirit of protecting life and putting the people first is the core essence, which runs through the anti-epidemic struggle from beginning to end and is the most prominent feature of the great anti-epidemic spirit, playing a foundation and leading role; The spirit of unity of the whole country and unity of mind is the fundamental guarantee, and it is a vivid display of Socialism with Chinese characteristics’s institutional advantages in the fight against the epidemic; The spirit of sacrifice, relying on scientific and precise policies, the spirit of mutual assistance, and the spirit of cooperation through thick and thin, is the most reliable and reliable magic weapon to win, which further embodies and develops the spirit of patriotism, collectivism and socialism, the glorious tradition and fine style of our party and army, and the great national spirit and contemporary spirit of the Chinese nation. As an extremely valuable spiritual wealth of the Party and the people, the great spirit of fighting epidemic has become an important part of the spiritual pedigree of the Chinese nation and the Communist Party of China (CPC). Only by vigorously carrying forward the great anti-epidemic spirit can we be invincible and invincible!

Second, the great anti-epidemic spirit has profound theoretical origin and vivid practical foundation.

Spirit is the product of practice, great cause calls for great spirit, and arduous struggle will inevitably produce great spirit. The great anti-epidemic spirit is not a "rootless flower" falling from the sky, but it has a profound theoretical origin and practical basis.

(A) the great anti-epidemic spirit is born in the deep soil of the excellent traditional culture of the Chinese nation.

General Secretary of the Supreme Leader pointed out that Chinese culture has accumulated the deepest spiritual pursuit of the Chinese nation, contains the most fundamental spiritual genes of the Chinese nation, represents the unique spiritual identity of the Chinese nation, and is a rich nourishment for the endless development and growth of the Chinese nation. Chinese excellent traditional culture is the spiritual lifeline of the Chinese nation, and it is a unique symbol and outstanding advantage that the Chinese nation and the people of China have gradually formed in the process of cultivating Qi and leveling the peace, respecting the times and keeping the position, knowing what is common and changing, starting things, and making achievements. Especially for the common dilemma and problems of human development in the 21st century, Chinese culture and oriental wisdom have provided important enlightenment and solutions in solving the dilemma of modernization, promoting ecological protection, improving social governance, improving administrative ethics, promoting ethnic exchanges, and strengthening moral construction.

The great anti-epidemic spirit is a Chinese plan provided by Chinese excellent traditional culture to cope with the global epidemic of COVID-19, and it is a precious spiritual wealth that flows in the body of the Chinese nation and is rooted in the hearts of Chinese people, and is combined with the latest characteristics of the times in a specific period to promote social progress. The six aspects of the great anti-epidemic spirit can be found in the excellent traditional Chinese culture. For example, the people-oriented idea, the idea that one side is in trouble and all sides support it, the idea of giving up one’s life for justice, the idea of forgetting the private, the idea of the rise and fall of the world and the responsibility of every man, the idea of the world being public and the world being one, and so on. These thoughts present three-dimensionally and systematically the thinking and ideas based on individual standard, which are different from those in the west, and show the great potential of Chinese excellent traditional culture to benefit mankind.

(2) The great spirit of fighting the epidemic arises from the great practice of the Party leading the people to fight the epidemic.

Through the long river of history, looking back at the course of the Chinese nation’s rejuvenation, it is not difficult for us to find painful memories of wars and famines, and it is not difficult to find catastrophic memories such as floods, droughts, earthquakes and plagues. However, the Chinese nation has never been crushed, but has become more frustrated and brave, constantly growing up and rising from hardships. Looking back on the history of the Party and the new China, the Communist Party of China (CPC) has been growing and being tested constantly in the process of internal troubles and foreign invasion, hardships and struggles since its birth. It has United and led the people of China to overcome various crises, produced a series of spirits, such as the great spirit of fighting floods, fighting SARS and earthquake relief, and constantly moved towards new victories. At present, the sudden COVID-19 epidemic is a big test for China and the Communist Party of China (CPC), and it also provides an important opportunity for nurturing great spirit.

The great anti-epidemic spirit came into being in the practice of people’s war, general war and blocking war in which the Party led the people to prevent and control the epidemic. Under the strong leadership of the CPC Central Committee with the Supreme Leader as the core, Chinese people properly handled a major public health emergency that occurred in China with the fastest spread, the widest infection range and the most difficult prevention and control since the founding of New China, and it was also formed in the active response of people all over the world to the global pandemic infectious diseases that human beings have encountered in the past century. The great anti-epidemic spirit not only enriches and continues the great anti-flood spirit, anti-SARS spirit and earthquake relief spirit, but also shows different characteristics according to the practical needs of coping with the crisis, such as relying on scientific zoning and grading to make accurate policies, helping each other in the same boat to strengthen global anti-epidemic cooperation and so on. These characteristics are the reflection of practical requirements in the fight against epidemic situation and the reflection of China people’s spiritual outlook, which has added new connotation and injected new vitality into the great anti-epidemic spirit.

(3) The great anti-epidemic spirit was born in the background of Socialism with Chinese characteristics entering a new era.

A great spirit that can inspire people to forge ahead and give them strength always conforms to the needs of the times, is a concentrated spiritual reflection of advanced social forms and their development trends in different periods, and is the most active and powerful internal driving force for people in real struggle. As creators and practitioners of the great spirit, the people of the Communist Party of China (CPC) and China always glow with an ever-expanding spiritual atmosphere with distinctive characteristics of the times according to the background of the times and the requirements of historical tasks. For example, in the revolutionary era, focusing on national independence and people’s liberation, a spirit of struggle focusing on taking risks, sticking to faith, daring to sacrifice and forging ahead was formed, which gave birth to the spirit of Red Boat, Jinggangshan, Soviet Area, Nanliang, Long March, Anti-Japanese War, Yan ‘an, Hongyan, Yimeng and Xibaipo. In the era of construction, in the face of poverty and backwardness, an entrepreneurial spirit focusing on self-reliance, hard work and selfless dedication was formed, which gave birth to the spirit of resisting US aggression and aiding Korea, Daqing spirit, Hongqi Canal spirit and "two bombs and one satellite". In the reform era, in order to achieve national prosperity, national rejuvenation and people’s happiness, the spirit of reform and innovation focusing on pioneering and innovation, forge ahead, seeking truth and being pragmatic has been formed, and the spirit of manned space flight, the spirit of Beijing Olympic Games and the spirit of model workers have been nurtured. Entering a new era, the CPC Central Committee with the Supreme Leader as the core unites and leads the people of all ethnic groups in China, promotes the overall layout of the "five in one" as a whole, and promotes the "four comprehensive" strategic layout in a coordinated manner. The cause of the party and the state has achieved historic achievements and undergone historic changes.It has nurtured and produced valuable spiritual wealth such as the spirit of reform and innovation, the spirit of getting rid of poverty, the spirit of Saihanba, the spirit of Silk Road and the spirit of self-revolution.

The great anti-epidemic spirit came into being under the background that Socialism with Chinese characteristics entered a new era. It has consistency in connotation and ideological continuity with the theoretical expression of all the above great spirits, and it is the most jumping wave of the times stirred by the red gene in the great practice of Socialism with Chinese characteristics in the new era. The six aspects of the great anti-epidemic spirit have the consistent basic ideological core of the Communist Party of China (CPC)’s spiritual pedigree, such as fear of sacrifice, willingness to contribute, unity and mutual assistance, seeking truth from facts, hard struggle and so on. These core concepts vividly show the Communist Party of China (CPC) people’s world outlook, outlook on life and values, and are the precious essence of China spirit that must be promoted.

Third, carry forward the great anti-epidemic spirit and make unremitting efforts to realize the Chinese dream of great rejuvenation of the Chinese nation.

Difficulties and hardships, jade is successful. The great anti-epidemic practice gave birth to the great anti-epidemic spirit, which will inevitably help the development of the great cause and become a powerful driving force for realizing the Chinese nation’s great rejuvenation of the Chinese dream. Facing the unprecedented great changes in the world and the strategic overall situation of the great rejuvenation of the Chinese nation, facing the historical task of building a well-off society in an all-round way, the successful conclusion of the 13 th Five-Year Plan and the smooth convergence of the goals of "two hundred years", and facing the various risk challenges that China’s development has accumulated and even concentrated in the current and future period, the whole party and society can only vigorously carry forward the great anti-epidemic spirit, continue to overcome difficulties and triumph, and truly achieve "not afraid of clouds to hide our eyes" and "chaos"

(A) to carry forward the great anti-epidemic spirit, we must thoroughly study the Supreme Leader’s Socialism with Chinese characteristics Thought in the new era.

Decisive results have been achieved in the defending wars in Wuhan and Hubei, major strategic achievements have been made in the prevention and control of epidemic situation, and positive results have been achieved in promoting the prevention and control of epidemic situation and economic and social development as a whole. The most fundamental thing is that there is Socialism with Chinese characteristics Thought of the Supreme Leader in the new era, especially the important speech and instructions of the General Secretary of the Supreme Leader on the prevention and control of epidemic situation as a scientific guide, and that there is centralized and unified leadership of the CPC Central Committee with the Supreme Leader as the core. To carry forward the great anti-epidemic spirit in the new era, the first task is to thoroughly study the Supreme Leader’s Socialism with Chinese characteristics Thought in the new era. It is necessary to closely combine the study of the Supreme Leader’s Socialism with Chinese characteristics Thought in the new era with the study of the excellent traditional culture of the Chinese nation, profoundly understand the relationship between the great anti-epidemic spirit and the "flow" and "source" of the excellent traditional culture of the Chinese nation, accurately grasp the China characteristics and oriental wisdom contained in the great anti-epidemic spirit, and further strengthen the "four self-confidences"; It is necessary to closely combine the study of Socialism with Chinese characteristics Thought of the Supreme Leader in the new era with the study of the Communist Party of China (CPC)’s spiritual pedigree, deeply understand that the great anti-epidemic spirit is the product of the collision between Marxist theory and Socialism with Chinese characteristics’s great practice, accurately grasp the inherent red gene of the great anti-epidemic spirit and the spiritual temperament of Communist party member, and further strengthen the "four consciousnesses"; It is necessary to closely integrate the study of the Supreme Leader’s Socialism with Chinese characteristics Thought in the new era with the great struggle and concrete practice of fighting the epidemic in the new era, and deeply understand the characteristics of the times and practical attributes of the great anti-epidemic spirit.Accurately grasp the supreme leader General Secretary, as the core of the party, the people’s leader and the army commander-in-chief, and resolutely achieve the "two maintenances".

(B) to carry forward the great anti-epidemic spirit, we must strengthen research, publicity and interpretation, and create a good social atmosphere for the great rejuvenation of the Chinese nation.

It is a systematic and long-term major project to vigorously carry forward the great anti-epidemic spirit in the whole party and society in the new era. We must make unremitting efforts for a long time, study, publicize and explain the great anti-epidemic spirit. We should improve our political position, and conduct a comprehensive, systematic and in-depth study on the era value, historical logic, spiritual essence and rich connotation of the great anti-epidemic spirit from the political height of consolidating the guiding position of Marxism in the ideological field, cultivating and practicing socialist core values and consolidating the common ideological foundation of the United struggle of the whole party and people of all ethnic groups throughout the country. Based on the great practice of China’s fight against the epidemic, we should publicize the great anti-epidemic spirit by organizing thematic lectures, holding reports on advanced figures and deeds, compiling training materials for cadres in party member and popular books for young people, so as to promote the great anti-epidemic spirit into our minds, enhance the confidence of the whole party and people of all ethnic groups in overcoming various major risk challenges, and unify the thoughts and actions of the broad masses of cadres and people in party member with the top leader as the core in all the decisions and arrangements of the CPC Central Committee. It is necessary to intensify the creation of literary and artistic works, show the great anti-epidemic spirit through movies, television, stage performances and other ways, so as to integrate it into the national blood, infiltrate and nourish the soul, enlighten and educate the masses, and establish a good fashion of advocating and praising heroes in the whole society. At the same time, we should actively spread the international voice of China’s anti-epidemic, tell clearly, thoroughly and vividly the anti-epidemic stories of General Secretary of the Supreme Leader, the Communist Party of China (CPC) and 1.4 billion people in China, so as to gather positive energy, boost the spirit and make new contributions to the global cooperation against the epidemic.

(3) To carry forward the great anti-epidemic spirit, we must play the role of spiritual strength and promote the great practice, innovation and development of Socialism with Chinese characteristics.

General Secretary of the Supreme Leader profoundly pointed out: "Now, we are closer to the goal of the great rejuvenation of the Chinese nation than at any time in history, and we are more confident and capable of achieving this goal than at any time in history." However, "the great rejuvenation of the Chinese nation can never be achieved easily." "What we are now in is a time when it is more urgent for a ship to wander in the middle of the river and people to climb more steeply in the middle of the mountain. It is a time when it is more and more difficult to advance, more and more dangerous, but if you don’t advance, you will retreat and have to enter." To carry forward the great anti-epidemic spirit in the new era, the most fundamental thing is to sublimate its stand, viewpoint and method into Socialism with Chinese characteristics’s great practice, infiltrate its ideological elements and spiritual strength into the great journey of building a socialist modern power in the new era, make every effort to promote the great cause of national rejuvenation and strive to realize the Chinese dream of great rejuvenation at an early date. We must adhere to the centralized and unified leadership of the CPC Central Committee with the Supreme Leader as the core, always adhere to and courageously undertake the Communist Party of China (CPC)’s initial intention and mission of seeking happiness for the people of China and the rejuvenation of the Chinese nation, and continue to struggle with an unrelenting mental state and an indomitable attitude. We should persist in perfecting and developing the Socialism with Chinese characteristics system, and promote the modernization of the national governance system and governance capacity, so as to fully transform the remarkable advantages of China’s national system and national governance system into governance efficiency, and fully demonstrate the remarkable advantages and strong vitality of the Socialism with Chinese characteristics system. We must stick to a blueprint to the end, insist that Qingshan will not relax, be sincere and United, and be willing to contribute.Seek truth from facts, be practical, be scientific in layout, dare to fight hard, and do all the work in a down-to-earth manner with the spirit of nailing. We must adhere to the path of peaceful development, promote the building of a community of human destiny, and work with people all over the world to build a world of lasting peace, universal security, common prosperity, openness, tolerance, cleanliness and beauty, and make new and greater contributions to the development and progress of human society.

Original: Research on the History of the Communist Party of China, No.4, 2020

Japanese media: Fukushima nuclear power plant reactor base damaged or caused serious consequences, but TEPCO said nothing.

4-Copy. png

  At the bottom of the nuclear reactor base of Unit 1 of Fukushima Daiichi Nuclear Power Plant, the concrete almost fell out (social media screenshot)

  Overseas Network May 30thAccording to Japan’s Asahi Shimbun reported on the 30th, the nuclear reactor base of Unit 1 of Fukushima Daiichi Nuclear Power Plant was seriously damaged. If a major earthquake occurs in the future, it will be damaged or further expanded, which may lead to the leakage of radioactive materials. However, the Tokyo Electric Power Company (TEPCO) issued a claim that it was "nothing".

  "Asahi Shimbun" said that in March this year, the detection and exploration of underwater robots found that almost all the concrete fell off the bottom of the base supporting the nuclear reactor of Unit 1, and the steel bars inside were exposed. Once a major earthquake strikes, the base may be completely damaged, and the pressure vessel of the nuclear reactor will also fall with it, with disastrous consequences.

  However, TEPCO said that according to the current seismic resistance of the base, it can withstand the intensity below magnitude 6 in Japan. "Asahi Shimbun" said that although TEPCO denied the possibility of tilting or dropping the pressure vessel of the nuclear reactor, it is difficult to assert that radioactive materials will not leak as far as the damage degree of the base is concerned. Last week, the Japan Atomic Energy Regulatory Commission also said that TEPCO could not accurately understand the scope of damage to the base and the state of building materials. And because the pressure vessel has radiation, the repair project is difficult to complete.

  The Japan Atomic Energy Regulatory Commission believes that radioactive materials are likely to fly outside the nuclear power plant in the future. "Although TEPCO is optimistic, it is difficult for us to think that everything is safe." Nosuke Yamanaka, chairman of the Atomic Energy Regulatory Commission, said at the press conference that in order not to affect the surrounding environment and residents, TEPCO must take responsibility and solve it as soon as possible.

  "Asahi Shimbun" said that it has been 12 years since the Fukushima nuclear accident, and now there are frequent problems, and the demolition of nuclear power plants is difficult. The building materials inside the nuclear power plant are aging, and the danger is also increasing. Once radioactive materials are leaked, it will bring unpredictable effects on the personal safety of local people, regional reconstruction and fisheries. Asahi shimbun believes that the problem of base damage should not be optimistic, and the worst case must be assumed and countermeasures should be taken accordingly. (Overseas network Wang Shanning)

A junior high school composition 50 yuan, the network emerged "to write the economy" wonderful business

  Xinhua News Agency, Beijing, August 5th Title: 50 yuan, a junior high school composition, has a wonderful business of "writing economy" on the Internet.

  Xinhua News Agency "China Nets" reporters Yang Siqi and Zhang Duo

  During the summer vacation, primary and secondary school students’ holiday homework writing business is becoming a hot business, which is launched on major online shopping and social platforms. These schoolwork tasks, which originally belonged to children, have turned into goods that can be delivered online, and have become "cash cows" for "writers", which has aroused the concern of many parents and teachers. The reporter conducted an investigation into this.

  From a dozen yuan to hundreds of yuan, summer homework business is booming.

  "Contact customer service consultation — — Inform specific job types — — Determine the price — — Mailing homework — — Pay the required amount — — Start ghostwriting — — I will mail it to you after completion. " A ghostwriting website published such an operation process, and claimed that "professional ghostwriting for primary schools, junior high schools and senior high schools has a correct rate of more than 80%."

  According to the reporter’s search, many platforms such as Sina Weibo and Baidu Post Bar have summer homework writing business, and the charging standards are different for different types of homework. If you rush to jump the queue, you need to increase the price.

  Through WeChat, the reporter got in touch with one of the customer service agents who wrote the homework, and asked to write an essay of not less than 500 words on the topic of "I am in the third grade". The other party said that when pricing 50 yuan, 25 yuan’s deposit should be paid first, and the final payment should be paid after the composition is written, and the quantity is large. "Write 3 articles for each 45 yuan and 5 articles for each 40 yuan." The customer service also told reporters that in addition to primary school composition, undergraduate graduation thesis can also be written on behalf of others. The next morning, the customer service sent the written composition to the reporter through WeChat in the form of Word document.

  An industry insider said that in fact, as early as 2009, such "writing homework" posts appeared in "summer homework bar", and some students posted "kneeling for the answer to summer homework". Nowadays, with the expansion of the ghostwriting business market, its charging standard has also risen, and the average price of completing a workbook has risen from a dozen yuan at first to hundreds of yuan.

  The reporter found that these websites openly and independently recruit "writers", and some part-time and employment websites also have recruitment information. The "writing economy" has formed a complete industrial chain.

  At the same time, some college students or high school graduates will also post their own "sideline business" news on social platforms. In the "Shanghai Homework Bar", the landlord "C Little Apple Sauce" said, "The price will go up because of the tight time during the coming school term. I hope everyone will write quickly and don’t miss the cheap opportunity."

  In order to arouse resonance, many websites have also launched soft articles, such as "My poor summer vacation — — Confessions of a primary school student, etc., through emotional marketing by telling stories. A "professional ghostwriting network" also exposed recent praise records and WeChat transfer payment records.

  The reporter found that these ghostwriting services can be ghostwritten for daily work except for winter and summer homework.

  Who gave birth to "ghostwriting economy"?

  Recently, a parent in Lanzhou City, Gansu Province exposed his son’s summer homework list in the second grade of primary school: "Happy Summer Vacation"; 20 quality diaries; 20 reading records; Practice pen writing; Write and draw once a week; Read extracurricular books every day … …” Some netizens shouted: "This is simply the homework of the second grade of junior high school." "Not only students, but also parents."

  Yue Long, a professor at Shanghai Normal University, believes that the industrialization and continuous popularity of students’ homework ghostwriting service actually reflects the heavy academic burden of students, and at the same time reveals an impetuous and advanced learning atmosphere.

  An interviewed junior high school Chinese teacher admitted that some holiday assignments such as "Summer Life" and other workbooks are mostly a mere formality. "Leave homework, children are unwilling to do it; If you don’t stay, parents will worry that parents need to rely on the homework left by the teacher to restrain their children. Only when they see their children writing homework can parents rest assured. " The Chinese teacher said that these holiday assignments are generally not judged, and they will learn to talk about the content of the new semester and have no time to comment on holiday assignments.

  "This situation provides business opportunities for unscrupulous writers and vendors." John young, a researcher at Shanghai Education Supervision Research Center, said.

  The reporter’s investigation found that at present, some families tend to respect their children’s "personality" development more and more. In addition, extra-curricular counseling and extra-long interest classes have emerged, and some students no longer "absolutely obey" the school teachers, but arrange their life inside and outside the school more independently. "To write summer homework, it is better to read a good book and make a targeted professional counseling book." A parent said.

  John young believes that the emergence of the network platform just caters to the change of this educational concept, making writing homework more efficient and convenient, and even some parents "make excuses" for their children, or explicitly or implicitly allow their children to seek homework.

  Experts call for scientific burden reduction and happy holidays for primary school students

  John young believes that these ghostwriting businesses not only disturb the educational environment and market order, but also make children feel lazy and lucky, and form the habit of being confused and cheating, which is not conducive to their long-term development.

  Many netizens believe that ghostwriting business is actually an immoral business practice, turning children’s happy summer vacation into a wonderful business, and relevant departments should correct the unhealthy trend as soon as possible.

  The interviewed experts believe that finding someone to write homework and find a "gunman" is an act of dishonesty, which will impact and destroy the moral education and value orientation of primary and secondary school students, which is not conducive to their observance of integrity, resulting in a utilitarian understanding and solution to the current predicament. "You can’t confuse the large amount of homework with the purchase of homework to write services. You should tell students that writing homework is a fraudulent act." Xiong Bingqi, vice president of 21st Century Education Research Institute, told reporters.

  Yue Long pointed out that at present, China’s relevant supervision and legal constraints on the ghostwriting industry are still in a blank state. The education department and relevant market supervision departments should take comprehensive measures to carry out comprehensive rectification, and at the same time increase publicity and guidance, so that ghostwriters, parents and students can form a correct understanding.

  In view of some "unnecessary" homework, Ding Zhaomin, director of the Education Bureau of nangang district, Harbin, Heilongjiang Province, believes that "reducing the burden" actually puts higher demands on teachers, and its fundamental purpose is to improve the quality of school teaching.

  John young believes that the ghostwriting market has formed a complete industrial chain at present, which reflects the troubles among parents, students and schools. A more adequate dialogue mechanism should be established among the three to form a joint effort to promote the solution of such educational problems, thus providing a healthier environment for children’s growth.

A stowaway from Southeast Asia dived into the Shenzhen River for six hours, and when he was caught, his whole body was dying of mud.

Officers and men of the Sixth Guangdong Frontier Detachment of the Armed Police stationed on the front line of the Shenzhen-Hong Kong border captured a suspected stowaway from Southeast Asia near the mangrove ecological park in Shenzhen.

According to the China Youth Network, recently, the Sixth Guangdong Frontier Detachment of the Armed Police stationed at the front line of the Shenzhen-Hong Kong border announced that officers and men of the detachment had arrested a suspected stowaway from Southeast Asia near the mangrove ecological park in Shenzhen. It is understood that the suspected stowaway swam from Hong Kong to Shenzhen through the Shenzhen River. On the day of the arrest, the lowest temperature in Shenzhen was 4 degrees Celsius, and the stowaway lurked in the Shenzhen River for six hours. When the border guards found him, the stowaway was covered in mud. Because he had been soaked in water for too long, the suspected stowaway was dying of cold.

"Smugglers choose to sneak in the bad weather environment years ago because they are lucky. They think that border guards and soldiers will relax their vigilance years ago and in bad weather. I don’t know that the worse the environment, the more we demand vigilance. " Ou Zihao, an officer who arrested suspected stowaways, said.

Articles carried by stowaways.

The irrational number in this irrational number makes mathematicians call "it can’t stop at all"

Fengse compiled from the concave temple

Quantum bit | WeChat official account QbitAI

In the history of mathematics, there is a famous problem of "turning a circle into a square".

It was put forward by an ancient Greek philosopher in prison in the 5th century BC. It is about drawing a square with a compass and a scaleless ruler to make its area equal to that of the circle.

However, no one expected that this problem has been puzzling mathematicians for more than 2000 years.

In the end, it was discovered by everyone, and it was impossible to draw it.

The reason is related to π being a transcendental number-

Yes, π is a transcendental number besides the irrational number identity known to primary school students.

When it comes to transcendental number, it’s a really hard concept to understand, and no number of professional textbooks can make it easy to understand.

It can only be said that it is a class of irrational numbers, but it is more "unreasonable" than irrational numbers. .

From the 18th century to the present, back and forth for more than 200 years, a large number of mathematicians from various countries have pounced on it, looking for evidence to prove its existence and ways to judge it.

However, this "little thing" is so elusive that until now there are still many suspected figures that have not been proved and a lot of open problems related to it have not been solved.

"Terrible" is that many mathematicians said:

In fact, I know that it is useless to find out which number is beyond the number, but I just can’t stop!

Therefore, today’s article is a dry issue of mathematics, which comes from the column of Quanta Magazine (author David S. Richeson). It is the most clear and easy-to-understand article that tells the ins and outs of transcendental numbers, and is hereby compiled.

Then, blessed are those who like mathematics today-

Love beyond a few times again, and see how it was discovered by mathematicians and how it was related to that Millennium problem.

The Unsolvable Problem of "Turning a Circle into a Square"

Mathematician Leopold Kronecker famously said:

God himself created natural numbers, and the rest came from human power.

Nowadays, although all kinds of numbers have a fascinating and complicated history, basically everyone has a clear definition of them.

For example, integers are positive integers and zero plus negative integers. Rational number is a number that can be expressed as the ratio of two integers, including integers, finite decimals and infinite cyclic decimals.

If the decimal places of this ratio are never divided and never repeated, it is an irrational number.

Then rational numbers and irrational numbers together form real numbers, and real numbers and imaginary numbers form complex numbers.

Among them, today, we all agree that rational numbers were discovered by hippasus, who lived around the 5th century BC (and he died because of it).

But in fact, his discovery belongs to geometric meaning rather than arithmetic.

He proved that you can find two line segments that cannot be divided into several equal lengths, such as the sides and diagonals of a square.

Today we call this incommensurability, which means that their lengths are not rational multiples of each other.

Therefore, the diagonal length of a square is √2 times the side length, and this √2 is called an irrational number.

Undoubtedly, using compasses and straightedge, we can draw a line segment with any positive rational length.

However, some unreasonable lengths are also acceptable. For example, in the famous golden ratio (1+√5)/2, draw a regular Pentagon with a side length of 1 and take its diagonal.

In 1637, the famous mathematician Descartes proved:

As long as a number can be represented by integer operations of addition, subtraction, multiplication, division and square root, then we can draw the corresponding line segments (such as all positive rational numbers, as well as the √2 and the golden ratio just mentioned).

Therefore, if we can express π with an exact formula, can we solve the problem of "turning a circle into a square"!

The problem is, I can’t find it.

In a blink of an eye, 200 years have passed (two centuries have passed).

A French mathematician named Pierre Wantzel finally proved:

If a number can be drawn by line segments, that is, it can be constructed, then it must also be the root of a polynomial that cannot be further factorized or simplified, and the degree of the highest term of this polynomial is a power of 2 (such as 2, 4, 8, 16, etc.).

For example:

√2 is the root of the polynomial x2–2, and the golden ratio is the root of x2–x–1, so they can all be drawn.

And like 3; √2 is the root of the polynomial x3–2, which does not meet the condition of the second power, so it is impossible to draw a line segment of this length.

However, even if we know this law, we still haven’t found the exact expression of π, and the problem of turning a circle into a square is still unresolved.

It was finally proved that it could not be drawn at all.

In fact, the key to solving the problem of turning a circle into a square is just like mathematicians divided real numbers into rational numbers and irrational numbers before-complex numbers need to be divided into two sets.

For complex numbers, many of them are equal to the roots of polynomials with integral coefficients, which mathematicians call algebraic numbers.

Every rational number is an algebraic number, and so are some irrational numbers, such as 3; √2, and even the imaginary number I, it counts, because it is the root of x2+1.

Not all complex numbers are like this, so the values that do not belong to this category are called transcendental numbers.

However, it is not obvious whether a transcendental number exists, and it is also very challenging to prove whether a given number is transcendental, because it is necessary to disprove that a number is not the root of any integer coefficient polynomial.

The first breakthrough point was born in 1844, and a French mathematician named joseph liouville thought of such an indirect method:

Since irrational numbers can’t be well approximated by rational numbers, if I find a number that can be infinitely approximated by fractions with smaller denominators, it must be something else: transcendental numbers.

So, Joseph Liouville constructed such a number:

L=0.1100010000000000000000010…

It has only 0 and 1, where the position of 1 appears in turn by "n!" Decide that the position of the first 1 is equal to "1!" , that is, 1, and the second is equal to "2!" , appears in the second place, and the third is equal to "3!" , in the sixth place, and so on.

This ingenious design makes the scores of 1/10, 11/100 and 110001/1000000 very close to the value of L itself.

This proves the existence of transcendental numbers (that is, he created this L).

However, the number π does not satisfy Joseph Liouville’s condition (it cannot be infinitely approximated by rational numbers), so it is not clear whether π is beyond the number.

The important breakthrough came in 1873, nearly 30 years later.

A French mathematician named Charles Hermite designed a clever method to prove that the base e of natural logarithm is transcendental.

This is the first transcendental number that is not artificially designed, which makes Lin Deman, a German mathematician, finally prove that π is a transcendental number on the basis of his theory nine years later.

First, he proved that as long as D is a nonzero algebraic number, ed is a transcendental number.

In other words, if ed is an algebraic number, but d is either 0 or transcendental.

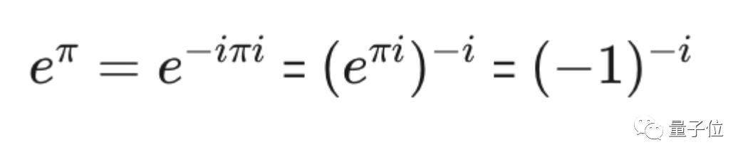
In this case, based on Euler’s identity, which is recognized as the most perfect formula in mathematics, eπ i = 1, the category of π can be deduced.

Because -1 is an algebraic number, πi must be a transcendental number based on the theorem just now, and π must be transcendental because I is also an algebraic number.

In this way, "big things are not good"-

π is a transcendental number, which means π does not meet the definition of "line segment that can be drawn" mentioned in the previous paragraph, so the problem of turning a circle into a square put forward by ancient Greek philosophers thousands of years ago is impossible to realize.

The story is not over yet.

The story of turning a circle into a square is over, but the exploration of transcendental numbers has just begun.

Shortly after E was proved to be a transcendental number, another mathematician proved that infinite numbers actually have different sizes, but the infinity of rational numbers is the same as the infinity of integers. Such a set is called "countably infinite".

However, the set of real numbers and irrational numbers is larger, which is uncountable infinity; At the same time, although the algebraic number set contains all rational numbers and infinitely many irrational numbers, it is still an infinitely small and countable infinite set.

Therefore, its complement, that is, transcendental number, is uncountable and infinite.

In other words, most real numbers and complex numbers are transcendental numbers.

-Although there are so many excesses, by the turn of the 20th century, mathematicians could only identify a few of them.

In 1900, the famous German mathematician David Hilbert listed a famous list of 23 most important unsolved mathematical problems, the seventh of which was:

It is proved that when A is an algebraic number and is not equal to 0 or 1, and B is an algebraic irrational number, ab is a transcendental number.

In 1929, Aleksandr Gelfond, a young Russian mathematician, proved that B = I √ r and r are special cases of positive rational numbers, which means that eπ is a transcendental number.

This result is surprising, because according to the theorem, e and π are not algebraic numbers.

However, by manipulating Euler’s identity skillfully again, we know what’s going on:

Soon after, another mathematician discovered that 2√2 was a transcendental number. Then, the seventh problem listed by David Hilbert was solved by two mathematicians independently.

Later, Alan Baker, a mathematician, published a series of articles, summarizing the achievements of these people, which made us have a deeper understanding of transcendental numbers, and therefore won the Fields Prize in 1970.

Of course, at the age of 31, his greatest achievement in winning this honor is to prove that two values such as the following are also transcendental numbers:

Until now, there are many open questions about transcendental numbers, and there are many concrete numbers that seem to be "very transcendental", which have never been proved, such as "eπ", "e+π", "ee", "π π" and "π e".

But as said at the beginning, the mathematician said:

It may not be useful to know who is above the number, but if we have the ability to know but choose not to know, it is definitely unacceptable.

Seriously respect.

Original link:

How Math Achieved Transcendence

End—

Advances in science and technology meet every day ~

Original title: "The irrational number in this irrational number makes mathematicians call" it can’t stop at all ""

Read the original text